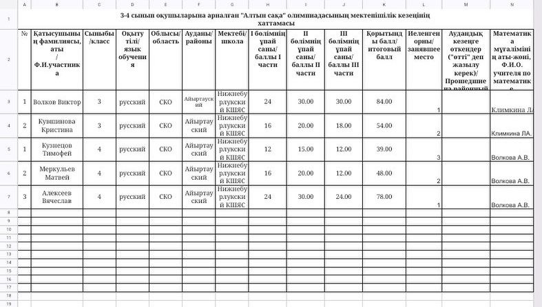
2024 жылдың 3-қазанында "Нижнеборлық Мббк "КММ-де" Алтын сақа " математикалық олимпиадасының мектеп кезеңі өтті, оған 3-4 сынып оқушылары қатысты.
Жаңалықтар
2024 жылдың 3-қазанында "Нижнеборлық Мббк "КММ-де" Алтын сақа " математикалық олимпиадасының мектеп кезеңі өтті, оған 3-4 сынып оқушылары қатысты.
Қаралды: 207





