Басты бет
Жаңалықтар
Мемлекеттік рәміздер
Мемлекеттiк Туы
Мемлекеттiк Елтаңбасы
Мемлекеттік Гимні
Басшылық
Құжаттар
Қамқоршылық кеңес
Консультациялық пункт
Байланыстар
Жаз 2025
Онлайн-приемная
Нашар көрушілер режиміне
KZ
RU
Экранный диктор
КММ «Нижнеборлық Мектеп - бөбекжай – бақша кешені»
Ресми интернет-ресурс
Басты бет
Жаңалықтар
Мемлекеттік рәміздер
Мемлекеттiк Туы
Мемлекеттiк Елтаңбасы
Мемлекеттік Гимні
Басшылық
Құжаттар
Қамқоршылық кеңес
Консультациялық пункт
Байланыстар
Жаз 2025
Онлайн-приемная
Жаңалықтар
Қауіпсіз білім беру ортасын психологиялық - педагогикалық сүйемелдеу, білім беру процесіне қатысушылардың барлығының денсаулығын сақтау және нығайту мақсатында, сондай-ақ Дүниежүзілік психикалық денсаулық күні шеңберінде мектепте 2024 жылғы 1 қазан мен 11
30 Қазан 2024
Қаралды: 189
Мектеп неден басталады? Әрине, кез-келген мектеп - директордан басталады! Директор - режиссер іспеттес, бірақ ол әрдайым сахнадан көрінбейді. Оның рөлі шығармашылыққа толы. Жанна Купжасаровна Нурманова- ұстаздық жолда кездесетін түрлі бөгеттерден өзі өтіп
30 Қазан 2024
Қаралды: 68
Еңбек күнін мерекелеу аясында 9-сынып оқушыларына "Бабык-Бурлук" ЖШС фирмасының астық ағынына экскурсия ұйымдастырылды.
28 Қазан 2024
Қаралды: 190
Нашақорлықтың алдын алу шаралары аясында мектепте "Есірткі-қайғы белгісі", "Тоқта! Есірткі! “ қабырғаға ақпараттар рәсімделді.
30 Қазан 2024
Қаралды: 204
Керемет Ұстаз! Бастауыш сынып мұғалімі үшін әр бесінші оқу жылы бірінші сынып оқушыларының кездесуінен басталады. Ал балалар бірінші сыныпқа бірінші рет бірінші мұғалімінің жетекшлігімен барады. Біздің мектепте тамаша, жанашыр, мейірімді "бастауыш сынып м
30 Қазан 2024
Қаралды: 185
26-қыркүйекте "Нижнебурлық МББК" КММ-де балалардың қауіпсіздігін қамтамасыз ету мәселелеріне арналған жалпы мектептік ата-аналар жиналысы өтті. Ата-аналардың нақты өмірде де, цифрлық кеңістікте де балалардың қауіпсіздігі үшін жауапкершілігіне баса назар а
28 Қазан 2024
Қаралды: 193
Зорлық-зомбылықсыз қарым-қатынас және проблемаларды жанжалсыз шешу дағдыларына үйрету бойынша ақпараттық-ағартушылық әңгімелесу өткізу мақсатында 5-8 сынып оқушыларымен "Неге өмірде абай болу керек"," Жоқ! деп айта ал!", "Интернет желісінде құрбан болмау
30 Қазан 2024
Қаралды: 197
Дублер күні-бұл мектеп өміріндегі ең қызықты және танымдық іс-шаралардың бірі, ол оқушыларға мектеп мұғалімдері мен қызметкерлері ретінде өздерін сынап көруге мүмкіндік береді. Бұл күні оқушылар мұғалімдердің міндеттерін өз мойнына алады, сабақтар ұйымдас
30 Қазан 2024
Қаралды: 195
26 сентября 2024 года в школе проведены учебно-тренировочные занятия с педагогами, сотрудниками и обучающимися при возникновении чрезвычайных ситуаций Цель: формирование навыков при при эвакуационных мероприятиях и профилактика несчастных случаев при
28 Қазан 2024
Қаралды: 415
Біздің мектептің жұмыс бағыттарының бірі-дәлелсіз себептермен сабаққа қатыспау немесе жүйелі түрде қатыспайтындарды анықтау және есепке алу. Мектептегі "сабаққа келмеудің" алдын алу мақсатында оқушылармен "мектепке бармағаны үшін жауапкершілік тақырыб
30 Қазан 2024
Қаралды: 87
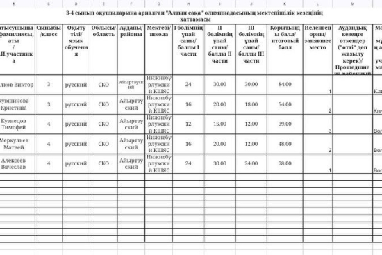
2024 жылдың 3-қазанында "Нижнеборлық Мббк "КММ-де" Алтын сақа " математикалық олимпиадасының мектеп кезеңі өтті, оған 3-4 сынып оқушылары қатысты.
30 Қазан 2024
Қаралды: 180
2024 жылғы 26 қыркүйекте мектепте төтенше жағдайлардағы педагогтармен, қызметкерлермен және білім алушылармен оқу-жаттығу сабақтары өткізілді. Мақсаты: эвакуациялық іс-шаралар кезінде дағдыларды қалыптастыру және төтенше жағдайлар туындаған кезде жазата
28 Қазан 2024
Қаралды: 193
Артқа
12
13
14
15
16
17
18
19
20
21
Алға
Пайдалы ресурстар
Қазақстан Республикасы Президентінің ресми сайты
Strategy2050.kz
Қазақстан Республикасы Денсаулық сақтау министрлігі
Әлеуметтік медициналық сақтандыру қоры
Мемлекеттік қызметтер және онлайн ақпарат
Басты бет
Жаңалықтар
Мемлекеттік рәміздер
Мемлекеттiк Туы
Мемлекеттiк Елтаңбасы
Мемлекеттік Гимні
Басшылық
Құжаттар
Қамқоршылық кеңес
Консультациялық пункт
Байланыстар
Жаз 2025
Онлайн-приемная
×
Записаться на прием
×
×