Главная
Руководство
Новости
Гос символы
Государственный Флаг
Государственный Герб
Государственный Гимн
Документы
Попечительский совет
Консультационный пункт
Контакты
Лето 2025
Онлайн-приемная
Версия сайта для слабовидящих
KZ
RU
Экранный диктор
КГУ «Нижнебурлукский Комплекс школа – ясли - сад»
Официальный интернет-ресурс
Главная
Руководство
Новости
Гос символы
Государственный Флаг
Государственный Герб
Государственный Гимн
Документы
Попечительский совет
Консультационный пункт
Контакты
Лето 2025
Онлайн-приемная
Новости
14 октября в школе прошёл единый классный час по теме "Рахимжан Кошкарбаев. Флаг над Рейхстагом". На классном часе учащиеся узнали о подвиге Рахимжана Кошкарбаева, который стал одним из символов мужества и героизма в годы Второй мировой войны. Обсуждались
30 октября 2024
Просмотров: 242
С целью психолого- педагогического сопровождения безопасной образовательной среды, сохранения и укрепления здоровья всех участников образовательного процесса, а так же в рамках Всемирного дня психического здоровья в школе было объявлено о проведении "Дека
30 октября 2024
Просмотров: 250
С чего начинается школа? Вы не ошибётесь, если скажете, что любая школа начинается с директора! Именно директор подобен режиссёру, создающему спектакль, хотя сам не всегда появляется на сцене. Его роль всегда более творческая, чем административная. Его ув
30 октября 2024
Просмотров: 112
9 октября в школе прошла акция "Почта радости", где ученический и педагогический коллективы могли написать письмо "радости" любому участнику образовательного процесса.
30 октября 2024
Просмотров: 247
В рамках мероприятий по профилактике наркомании в школе оформлены стенды: "Наркотик-знак беды", "СТОП! Наркотик! “
30 октября 2024
Просмотров: 238
Прекрасный педагог! «Учат в школе, учат в школе, учат в школе!». Для учителя начальных классов так начинается каждый пятый учебный год со встречи первоклассников. И дети идут в свой первый класс, в первый раз в сопровождении своей первой учительницы. В на
30 октября 2024
Просмотров: 231
Акция «Зеркало самоподдержки». размещение цитат для выражения эмоций и самоподдержки.
30 октября 2024
Просмотров: 257
С целью проведения информационно-просветительской беседы по обучению навыкам ненасильственной коммуникации и бесконфликтного решения проблем, с учащимися 5-8 классов проведён час общения по темам: " Почему нужно быть осторожным", " Умей сказать НЕТ!",
30 октября 2024
Просмотров: 256
День дублера – это одно из самых интересных и познавательных мероприятий в школьной жизни, которое позволяет ученикам попробовать себя в роли учителей и сотрудников школы. В этот день школьники берут на себя обязанности учителей, организуют уроки, проводя
30 октября 2024
Просмотров: 237
3 октября в рамках "Декады психологического здоровья" проведена селфи-акция "Жить позитивно"
30 октября 2024
Просмотров: 233
Одним из направлений работы нашей школы является выявление и учёт не посещающих или систематически пропускающих занятия по неуважительным причинам. Причины, по которым учащиеся систематически пропускают занятия в школе, могут быть совершенно разными. В
30 октября 2024
Просмотров: 230
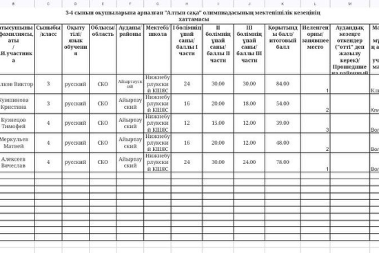
3 октября 2024 года в КГУ "Нижнебурлукский КШЯС" прошел школьный этап математической олимпиады "Алтын сақа" где приняли участие ребята 3-4 классов.
30 октября 2024
Просмотров: 230
Назад
14
15
16
17
18
19
20
21
22
23
Вперед
Полезные ресурсы
Официальный сайт Президента Республики Казахстан
Strategy2050.kz - обзорно-аналитический портал Казахстана
Министерство здравоохранения РК
Фонд социального медицинского страхования
Государственные услуги и информация онлайн
Главная
Руководство
Новости
Гос символы
Государственный Флаг
Государственный Герб
Государственный Гимн
Документы
Попечительский совет
Консультационный пункт
Контакты
Лето 2025
Онлайн-приемная
×
Записаться на прием
×
×